Автономная некоммерческая
общеобразовательная организация
«Лицей «Интеллект» (АНОО «Лицей «Интеллект»)

г. Балашиха, ул. Заречная, д. 7
+7 (495) 529-2361+7 (985) 145-2374
zarechnaya_7@inbox.ru

Версия для слабовидящих

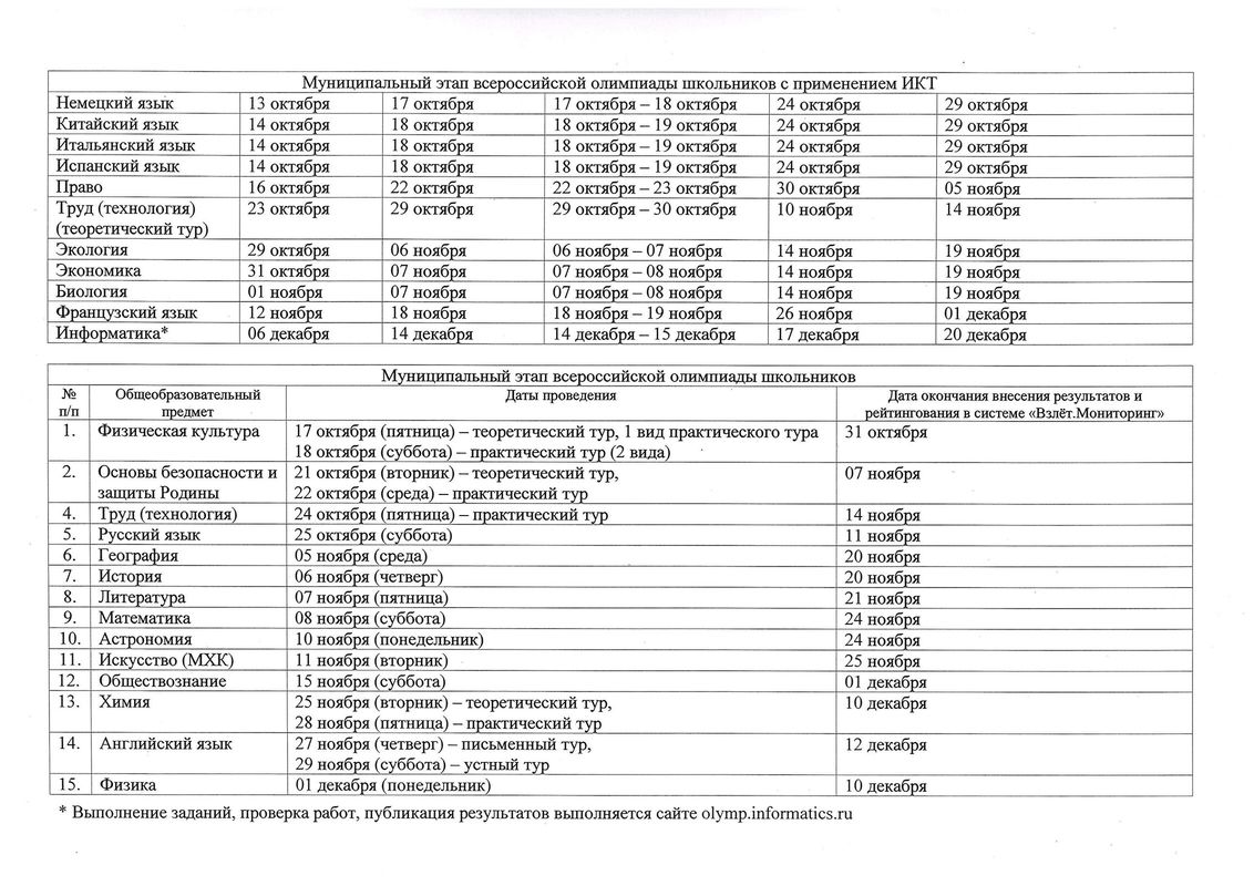
Всероссийская олимпиада школьников

Продолжая использовать наш сайт, вы даете согласие на обработку файлов cookie, пользовательских данных (сведения о местоположении; тип и версия ОС; тип и версия Браузера; тип устройства и разрешение его экрана; источник откуда пришел на сайт пользователь; с какого сайта или по какой рекламе; язык ОС и Браузера; какие страницы открывает и на какие кнопки нажимает пользователь; ip-адрес) в целях функционирования сайта и проведения статистических исследований и обзоров. Если вы не хотите, чтобы ваши данные обрабатывались, покиньте сайт.